Okinawa EXES Ishigakijima - Hotels Rooms u0026 Rates Ishigaki Island 
Malay folklore - Wikiwand![]()
Explore Hong Kongu0027s hidden hiking trails Jetstar
The MINDEF Translation Fiasco ~ TRISTUPE.COM
Food resources and changing patterns of resource use among the the
20 Short Trips in Malaysia for a Perfect Weekend Getaway
Indonesia - Wikitravel
Tasmanian Devil Exhibit - Balboa Park - 3 tips from 93 visitors
Tropical Fruits Of Malaysia: Introducing 11 Fascinating Fruits 
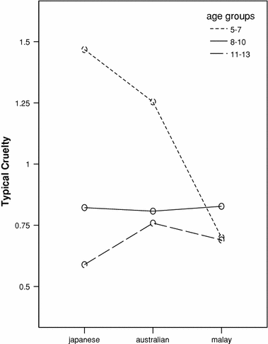
Childhood Cruelty to Animals: A Tri-national Study SpringerLink
Mai Trinh - Owstonu0027s Civet Programme Coordinator - Save Vietnamu0027s
Giant lizards are thriving on Borneou0027s oil palm plantations
Tags:
archive